Introduction
Navigating the business-to-business (B2B) buying process can feel a bit overwhelming, right? Especially as purchasing groups get bigger and more complex. As organizations work to streamline their procurement strategies, it’s crucial to grasp the ins and outs of this process. This guide is here to provide you with a clear roadmap through the essential stages of B2B purchasing. We’ll equip decision-makers like you with the tools to identify needs, evaluate vendors, and make informed choices.
But here’s the kicker: with so many stakeholders involved, each bringing their own priorities to the table, how can businesses ensure alignment and efficiency in their purchasing decisions? Let’s dive in and find out!
Understand the B2B Buying Process
Navigating the [business to business buying process](https://blog.genalpha.com/master-the-bill-of-materials-management-process-for-manufacturing-success) can feel like a maze, right? It typically involves several key stages:
- Recognizing a problem
- Describing needs
- Specifying products
- Searching for suppliers
- Analyzing proposals
- Making a purchase decision
Understanding these stages is crucial for businesses looking to effectively tackle the complexities of the business to business buying process. Each stage requires careful consideration and often involves multiple parties, so having a clear strategy is essential. By familiarizing yourself with these stages, you can anticipate challenges and streamline your purchasing efforts.
Now, here’s something to think about: B2B purchasing groups have expanded significantly, growing from an average of 5.4 participants in 2015 to an expected 8-13 members by 2025. That’s a big jump! This increase adds layers of complexity to decision-making, making it even more important to approach each stage strategically. With so many decision-makers involved, each with their own priorities and concerns, it’s vital to keep everyone aligned.
Effective participant mapping can really help here. It ensures that all voices are heard and considered. For instance, did you know that [nearly two-thirds (63%) of leads take at least three months to make a purchasing decision](https://corporatevisions.com/blog/b2b-buying-behavior-statistics-trends)? This highlights the importance of prompt engagement and alignment among everyone involved. Case studies show that organizations using multi-threaded sales strategies - where connections are made with different participants early on - tend to close deals more successfully.
Additionally, since 63% of leads take a while to decide, providing timely and relevant buyer enablement content is key. This content helps champions advocate for the product internally, streamlining the decision-making process and fostering a collaborative atmosphere among participants.
In summary, mastering the business to business buying process involves understanding its stages and the dynamics of the buying committee. By adopting a structured strategy and leveraging insights from industry leaders, we can navigate these transactions more effectively and boost our chances of success. So, what’s your next step in this journey?

Identify Your Business Needs
Identifying your business needs can feel a bit daunting, right? But it doesn’t have to be! Start by chatting with key stakeholders in your organization. Get their insights and perspectives. Then, take a good look at your current operations - what’s working, and what’s not?
For example, a SWOT analysis can be super helpful here. It helps you evaluate your strengths, weaknesses, opportunities, and threats. Once you’ve got that down, clearly define your objectives. What’s urgent? What will have the biggest impact? Prioritize those goals!
This organized approach not only helps you express your needs clearly but also makes it easier to communicate with potential vendors involved in the business to business buying process. You want solutions that are tailored just for you, after all! So, let’s get started on this journey together!

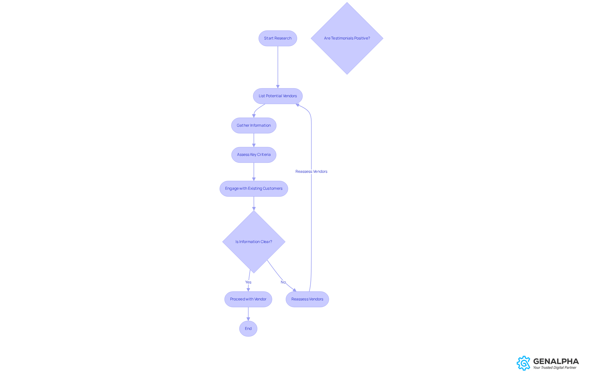
Research Potential Solutions
Start your research by putting together a list of potential vendors that fit your needs. You can tap into a mix of online resources, industry reports, and even ask your peers for recommendations to gather all the info you need. Did you know that 89% of purchasers do their research online? That really highlights how crucial thorough digital research is when evaluating vendors.
Now, when you assess each vendor, focus on key criteria like:
- Product quality
- Pricing
- Customer service
- Overall reputation
It’s super helpful to engage with existing customers for testimonials and feedback - after all, 56% of buyers check in with current product users before making a purchase. Plus, don’t forget to use digital tools and platforms to make side-by-side comparisons of what’s on offer.
Remember, 71% of buyers tend to avoid vendors who don’t provide clear information. This just goes to show how important transparent communication is. This research phase is vital, especially since 77% of B2B buyers say their latest purchase in the business to business buying process was pretty complex or tough. By arming yourself with this information, you’ll be in a great position to narrow down the providers that align with your business goals.

Request Quotes and Compare Providers
So, you’ve found some potential suppliers - what’s next? It’s time to request quotes! Start by crafting a detailed request for quotation (RFQ) that clearly lays out your specific needs and expectations. Be upfront about what products or services you need, how many, and any other important details. Did you know that a well-organized RFQ can cut down on those pesky clarification questions? Procurement experts say it can really streamline the quoting process, making it way more efficient. In fact, they spend an average of 4.2 hours just answering specification clarifications for each RFQ. That’s a lot of time saved with a solid RFQ!
Once those quotes start rolling in, it’s time to compare them. Look at price, delivery timelines, and terms of service. Creating a comparison matrix can really help you visualize the differences, making it easier to weigh your options. Research shows that buyers typically request three to five quotes as part of the business to business buying process. This just goes to show how important it is to compare thoroughly!
Successful RFQ processes have proven that organizations can see significant boosts in procurement efficiency. For example, one leading retail company managed to cut their procurement processing time by 30% after rolling out a robust RFQ platform. This systematic approach not only helps you find the best value for your investment but also paves the way for informed conversations with vendors. Ultimately, this leads to better purchasing decisions. So, are you ready to streamline your procurement process?

Complete the Purchase and Evaluate the Process
Once you've picked a vendor and wrapped up the purchase, it’s super important to take a good look at the entire business to business buying process. Think about what went well and where there’s room for improvement. Gathering feedback from everyone involved in the purchasing decision is key. It gives you valuable insights into their experiences with communication, product quality, and delivery times. This evaluation not only points out areas for enhancement but also helps strengthen your relationship with the vendor by providing constructive feedback.
Documenting these findings can really guide your future purchasing decisions and make your procurement strategy more effective. For instance, procurement manager Telmo Silva notes that consistently low on-time delivery rates might indicate issues with vendor reliability. This highlights the need for regular performance evaluations using Key Performance Indicators (KPIs). Engaging suppliers in this review process promotes transparency about their strengths and weaknesses, which can lead to better collaboration and mutual growth.
And let’s not forget, maintaining ethical behavior in these relationships is crucial for building trust and ensuring long-term success. So, how can you start this evaluation process? What steps can you take to foster a more open dialogue with your vendors?

Conclusion
Mastering the business-to-business (B2B) buying process is crucial for organizations that want to make smart purchasing decisions and improve their procurement strategies. Think about it: when you understand the different stages - from spotting a problem to evaluating the purchasing process - you can navigate the complexities and achieve better results.
So, what are the key steps? First, it’s all about identifying business needs through engaging with stakeholders. Then, you research potential solutions, request quotes, and evaluate the entire purchasing experience. Each of these stages highlights the need for clear communication and strategic planning, especially as buying committees grow and decision-making gets trickier. By leveraging insights from industry practices and focusing on timely engagement, you can really streamline the procurement process.
Ultimately, taking a structured approach to the B2B buying process not only leads to more successful transactions but also helps build stronger relationships with suppliers. By committing to continuous improvement and keeping an open dialogue with vendors, organizations can enhance their purchasing strategies and set themselves up for long-term success. So, what steps will you take next to optimize this vital process?
Frequently Asked Questions
What are the key stages of the B2B buying process?
The key stages of the B2B buying process include recognizing a problem, describing needs, specifying products, searching for suppliers, analyzing proposals, and making a purchase decision.
Why is understanding the B2B buying process important for businesses?
Understanding the B2B buying process is crucial for effectively tackling its complexities, as each stage requires careful consideration and often involves multiple parties. A clear strategy helps anticipate challenges and streamline purchasing efforts.
How has the size of B2B purchasing groups changed recently?
B2B purchasing groups have expanded significantly, with the average number of participants growing from 5.4 in 2015 to an expected 8-13 members by 2025.
What impact does the increase in decision-makers have on the B2B buying process?
The increase in decision-makers adds layers of complexity to decision-making, making it essential to approach each stage strategically and keep all participants aligned.
What is participant mapping, and why is it important?
Participant mapping is a strategy that ensures all voices in the buying committee are heard and considered, which helps in aligning priorities and concerns among decision-makers.
How long does it typically take for leads to make a purchasing decision?
Nearly two-thirds (63%) of leads take at least three months to make a purchasing decision.
What role does buyer enablement content play in the B2B buying process?
Providing timely and relevant buyer enablement content helps champions advocate for the product internally, streamlining the decision-making process and fostering collaboration among participants.
How can businesses identify their needs effectively?
Businesses can identify their needs by engaging with key stakeholders, analyzing current operations, conducting a SWOT analysis, and clearly defining and prioritizing their objectives.
What is the benefit of conducting a SWOT analysis?
A SWOT analysis helps evaluate strengths, weaknesses, opportunities, and threats, which aids in clearly expressing needs and communicating effectively with potential vendors.
List of Sources
- Understand the B2B Buying Process
- Self-Serve B2B Buying Is Forcing a Radical Shift in Go-To-Market Strategies (https://salesandmarketing.com/marketing-at-the-frontline-how-global-uncertainty-is-forcing-a-radical-shift-in-b2b-buyer-engagement)
- 68 B2B buyer statistics and insights (https://sopro.io/resources/blog/b2b-buyer-statistics-and-insights)
- B2B Buying Committees: Why 8-13 Stakeholders Changed Enterprise Sales (https://attainmentlabs.com/blog/b2b-buying-committees-doubled)
- B2B Buying Behavior in 2026: 57 Stats and Five Hard Truths That Sales Can’t Ignore (https://corporatevisions.com/blog/b2b-buying-behavior-statistics-trends)
- Identify Your Business Needs
- A quote by Richie Norton (https://goodreads.com/quotes/10048478-swot-is-cool-but-strategic-thinkers-know-that-there-is)
- Stakeholder Engagement in a Changing Business Landscape | Blog | Sustainable Business Network and Advisory Services | BSR (https://bsr.org/en/blog/stakeholder-engagement-in-a-changing-business-landscape)
- Stakeholder Engagement Effectiveness Statistics (https://zoetalentsolutions.com/stakeholder-engagement-effectiveness)
- Effective Stakeholder Engagement: Ensuring Internal Company Alignment | BSR Insights+ | Sustainable Business Network and Advisory Services | BSR (https://bsr.org/en/blog/effective-stakeholder-engagement-ensuring-internal-company-alignment)
- CIOs Urged to Prioritize Stakeholder Engagement for Greater Influence and Alignment, Advises Info-Tech Research Group (https://prnewswire.com/news-releases/cios-urged-to-prioritize-stakeholder-engagement-for-greater-influence-and-alignment-advises-info-tech-research-group-302536758.html)
- Research Potential Solutions
- B2B Buying Behavior in 2026: 57 Stats and Five Hard Truths That Sales Can’t Ignore (https://corporatevisions.com/blog/b2b-buying-behavior-statistics-trends)
- 66% of B2B Buyers Now Use AI For Supplier Research (https://traxtech.com/ai-in-supply-chain/66-of-b2b-buyers-now-use-ai-for-supplier-research)
- 13 Surprising B2B Data Statistics You Need to Know - SalesIntel (https://salesintel.io/blog/13-surprising-facts-about-b2b-data)
- 57 B2B Marketing Statistics 2026 [Growth & Trends] (https://demandsage.com/b2b-marketing-statistics)
- AI Now Outranks Google In B2B Supplier Discovery - Procurement360 (https://procurement360.io/blog/ai-now-outranks-google-in-b2b-supplier-discovery)
- Request Quotes and Compare Providers
- Custom Manufacturing Procurement: Why <25% of Quotes Are Accurate (https://speclens.ai/blog/custom-manufacturing-procurement-quote-accuracy)
- NET RFQ: Request for Quote Scammers Casting Wide Net to Steal Real Goods | Proofpoint US (https://proofpoint.com/us/blog/threat-insight/net-rfq-request-quote-scammers-casting-wide-net-steal-real-goods)
- B2B Ecommerce Statistics: Market Size, Growth & Benchmarks | Elogic Commerce (https://elogic.co/blog/b2b-ecommerce-statistics)
- What is RFQ Software: The Data Behind Why Manual Quoting Is Killing Win Rates? (https://arphie.ai/glossary/rfq-automation)
- B2B Buying Behavior in 2026: 57 Stats and Five Hard Truths That Sales Can’t Ignore (https://corporatevisions.com/blog/b2b-buying-behavior-statistics-trends)
- Complete the Purchase and Evaluate the Process
- Building trust with your suppliers (https://fsb.org.uk/resources/article/building-trust-with-your-suppliers-MCWCFYGEFDSFE6FLS4OEIBOBJR3I)
- 10 Supplier Quality Metrics For Procurement | ClicData (https://clicdata.com/blog/10-supplier-quality-metrics-for-procurement)
- 11 Statistics On Supplier Sourcing You Need to Know - Veridion (https://veridion.com/blog-posts/supplier-sourcing-statistics)
- Supplier Performance Review: How to Evaluate and Improve Supplier Relationships - Prokuria (https://prokuria.com/blog/supplier-performance-review)
- Supplier Relationship Management: Strategies & Best Practices (https://jpmorgan.com/insights/business-planning/supplier-relationship-management-strategies-and-best-practices)